Официальное опубликование правовых актов
ОФИЦИАЛЬНОЕ ОПУБЛИКОВАНИЕ
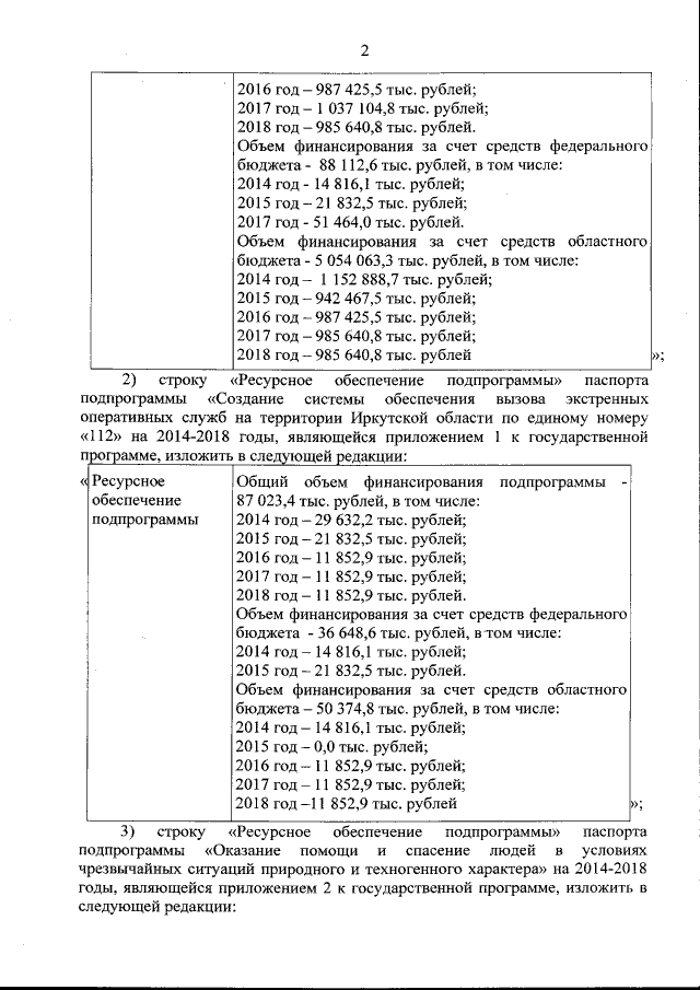
Постановление Правительства Иркутской области от 29.02.2016 № 106-пп
"О внесении изменений в государственную программу Иркутской области "Обеспечение комплексных мер противодействия чрезвычайным ситуациям природного и техногенного характера, построение и развитие аппаратно-программного комплекса "Безопасный город" на 2014-2018 годы"
Номер опубликования: 3800201603040005
Дата опубликования: 04.03.2016
Страница №2 из 66:
Увеличить