Официальное опубликование правовых актов
ОФИЦИАЛЬНОЕ ОПУБЛИКОВАНИЕ
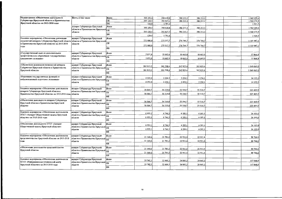
Постановление Правительства Иркутской области от 17.02.2016 № 90-пп
"О внесении изменений в государственную программу Иркутской области "Экономическое развитие и инновационная экономика" на 2015-2020 годы"
Номер опубликования: 3800201602200003
Дата опубликования: 20.02.2016
Страница №41 из 67:
Увеличить