Официальное опубликование правовых актов
ОФИЦИАЛЬНОЕ ОПУБЛИКОВАНИЕ
Постановление Правительства Иркутской области от 11.02.2016 № 69-пп
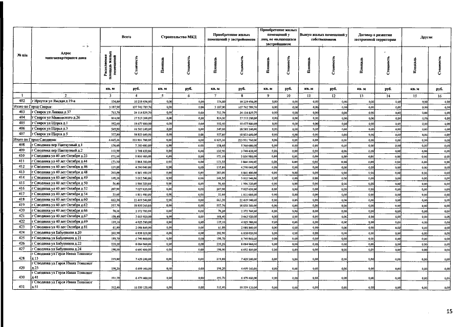
"О внесении изменения в региональную адресную программу Иркутской области "Переселение граждан, проживающих на территории Иркутской области, из аварийного жилищного фонда, признанного непригодным для проживания, в 2013 - 2017 годах"
Номер опубликования: 3800201602180001
Дата опубликования: 18.02.2016
Страница №61 из 92:
Увеличить