Официальное опубликование правовых актов
ОФИЦИАЛЬНОЕ ОПУБЛИКОВАНИЕ
Указ Губернатора Иркутской области от 05.02.2016 № 27-уг
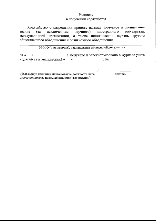
"Об утверждении Положения о порядке принятия лицами, замещающими отдельные должности государственной гражданской службы Иркутской области, наград, почетных и специальных званий (за исключением научных) иностранных государств, международных организаций, а также политических партий, других общественных объединений и религиозных объединений"
Номер опубликования: 3800201602100004
Дата опубликования: 10.02.2016
Страница №6 из 10:
Увеличить