Официальное опубликование правовых актов
ОФИЦИАЛЬНОЕ ОПУБЛИКОВАНИЕ
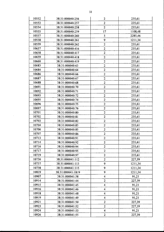
Постановление Правительства Иркутской области от 11.01.2016 № 4-пп
"О внесении изменений в приложение 1 к постановлению Правительства Иркутской области от 15 ноября 2013 года № 517-пп"
Номер опубликования: 3800201601150002
Дата опубликования: 15.01.2016
Страница №32 из 35:
Увеличить