Официальное опубликование правовых актов
ОФИЦИАЛЬНОЕ ОПУБЛИКОВАНИЕ
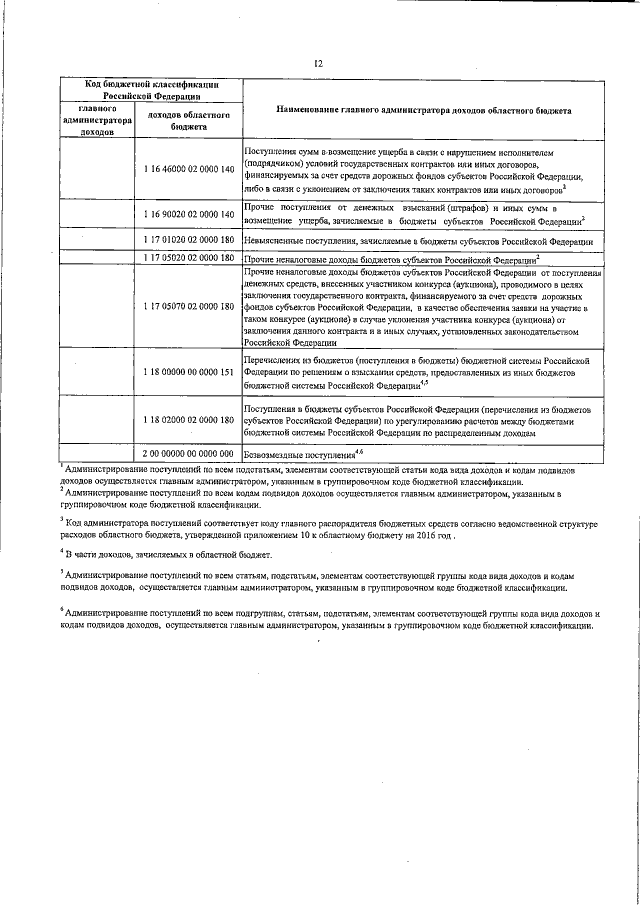
Закон Иркутской области от 23.12.2015 № 130-ОЗ
"Об областном бюджете на 2016 год"
Номер опубликования: 3800201512240007
Дата опубликования: 24.12.2015
Страница №68 из 350:
Увеличить