Официальное опубликование правовых актов
ОФИЦИАЛЬНОЕ ОПУБЛИКОВАНИЕ
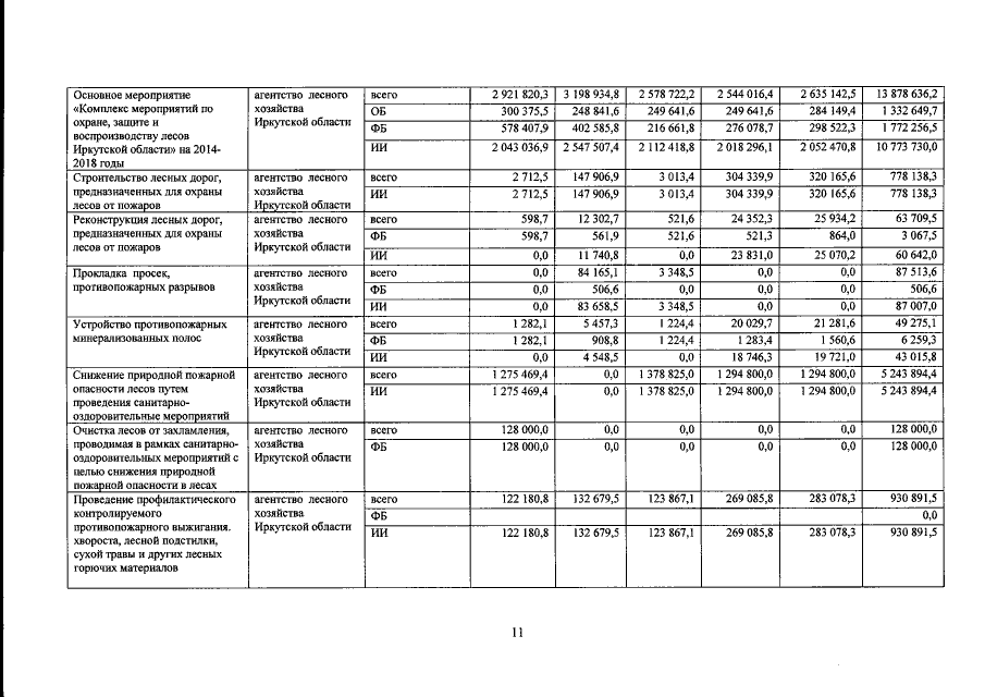
Постановление Правительства Иркутской области от 16.12.2015 № 651-пп
"О внесении изменений в государственную программу Иркутской области "Охрана окружающей среды" на 2014-2018 годы"
Номер опубликования: 3800201512170010
Дата опубликования: 17.12.2015
Страница №43 из 52:
Увеличить