Официальное опубликование правовых актов
ОФИЦИАЛЬНОЕ ОПУБЛИКОВАНИЕ
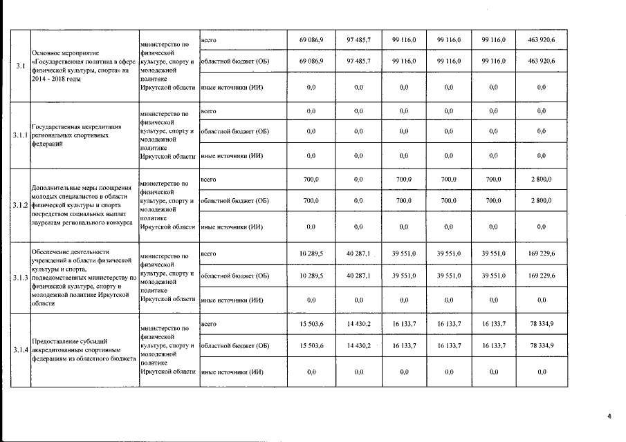
Постановление Правительства Иркутской области от 11.12.2015 № 640-пп
"О внесении изменений в государственную программу Иркутской области "Развитие физической культуры и спорта" на 2014-2018 годы"
Номер опубликования: 3800201512160010
Дата опубликования: 16.12.2015
Страница №18 из 27:
Увеличить