Официальное опубликование правовых актов
ОФИЦИАЛЬНОЕ ОПУБЛИКОВАНИЕ
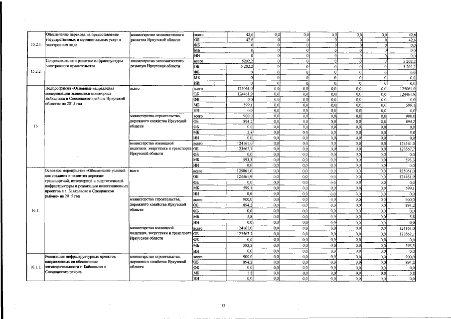
Постановление Правительства Иркутской области от 09.12.2015 № 622-пп
"О внесении изменений в государственную программу Иркутской области "Экономическое развитие и инновационная экономика" на 2015-2020 годы"
Номер опубликования: 3800201512160009
Дата опубликования: 16.12.2015
Страница №53 из 54:
Увеличить