Официальное опубликование правовых актов
ОФИЦИАЛЬНОЕ ОПУБЛИКОВАНИЕ
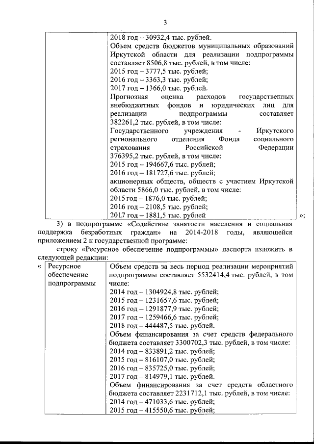
Постановление Правительства Иркутской области от 09.12.2015 № 625-пп
"О внесении изменений в государственную программу Иркутской области "Труд и занятость" на 2014-2018 годы"
Номер опубликования: 3800201512160007
Дата опубликования: 16.12.2015
Страница №3 из 72:
Увеличить