Официальное опубликование правовых актов
ОФИЦИАЛЬНОЕ ОПУБЛИКОВАНИЕ
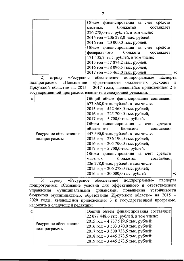
Постановление Правительства Иркутской области от 11.12.2015 № 639-пп
"О внесении изменений в государственную программу Иркутской области "Управление государственными финансами Иркутской области" на 2015 - 2020 годы"
Номер опубликования: 3800201512160004
Дата опубликования: 16.12.2015
Страница №2 из 14:
Увеличить