Официальное опубликование правовых актов
ОФИЦИАЛЬНОЕ ОПУБЛИКОВАНИЕ
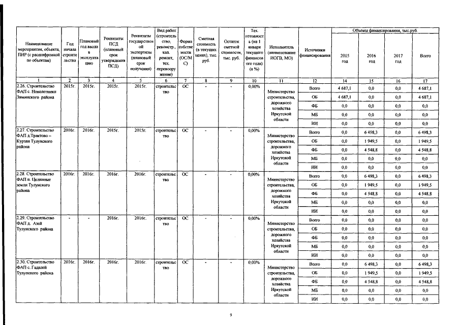
Постановление Правительства Иркутской области от 09.12.2015 № 623-пп
"О внесении изменений в государственную программу Иркутской области "Развитие сельского хозяйства и регулирование рынков сельскохозяйственной продукции, сырья и продовольствия" на 2014-2020 годы"
Номер опубликования: 3800201512110012
Дата опубликования: 11.12.2015
Страница №40 из 172:
Увеличить