Официальное опубликование правовых актов
ОФИЦИАЛЬНОЕ ОПУБЛИКОВАНИЕ
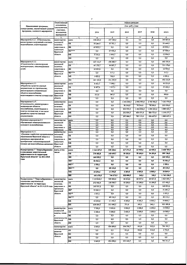
Постановление Правительства Иркутской области от 13.11.2015 № 577-пп
"О внесении изменений в государственную программу Иркутской области "Развитие жилищно-коммунального хозяйства Иркутской области" на 2014-2018 годы"
Номер опубликования: 3800201511190014
Дата опубликования: 19.11.2015
Страница №92 из 96:
Увеличить