Официальное опубликование правовых актов
ОФИЦИАЛЬНОЕ ОПУБЛИКОВАНИЕ
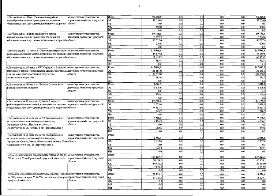
Постановление Правительства Иркутской области от 12.11.2015 № 562-пп
"О внесении изменений в государственную программу Иркутской области "Развитие образования" на 2014 – 2018 годы"
Номер опубликования: 3800201511190010
Дата опубликования: 19.11.2015
Страница №59 из 68:
Увеличить