Официальное опубликование правовых актов
ОФИЦИАЛЬНОЕ ОПУБЛИКОВАНИЕ
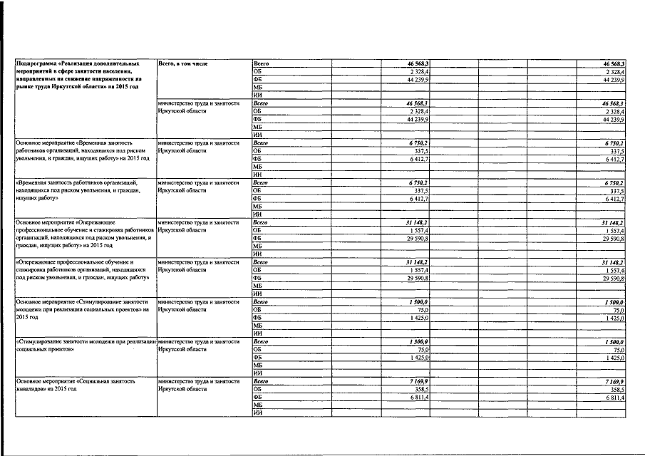
Постановление Правительства Иркутской области от 12.11.2015 № 565-пп
"О внесении изменений в государственную программу Иркутской области "Труд и занятость" на 2014-2018 годы"
Номер опубликования: 3800201511170002
Дата опубликования: 17.11.2015
Страница №82 из 83:
Увеличить