Официальное опубликование правовых актов
ОФИЦИАЛЬНОЕ ОПУБЛИКОВАНИЕ
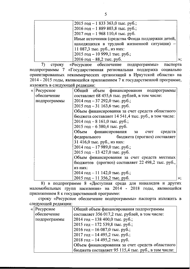
Постановление Правительства Иркутской области от 23.10.2015 № 531-пп
"О внесении изменений в государственную программу Иркутской области "Социальная поддержка населения" на 2014 – 2018 годы"
Номер опубликования: 3800201510290004
Дата опубликования: 29.10.2015
Страница №5 из 104:
Увеличить