Официальное опубликование правовых актов
ОФИЦИАЛЬНОЕ ОПУБЛИКОВАНИЕ
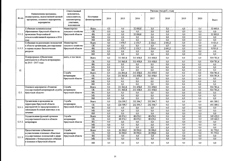
Постановление Правительства Иркутской области от 20.10.2015 № 527-пп
"О внесении изменений в государственную программу Иркутской области "Развитие сельского хозяйства и регулирование рынков сельскохозяйственной продукции, сырья и продовольствия" на 2014-2020 годы"
Номер опубликования: 3800201510270009
Дата опубликования: 27.10.2015
Страница №199 из 203:
Увеличить