Официальное опубликование правовых актов
ОФИЦИАЛЬНОЕ ОПУБЛИКОВАНИЕ
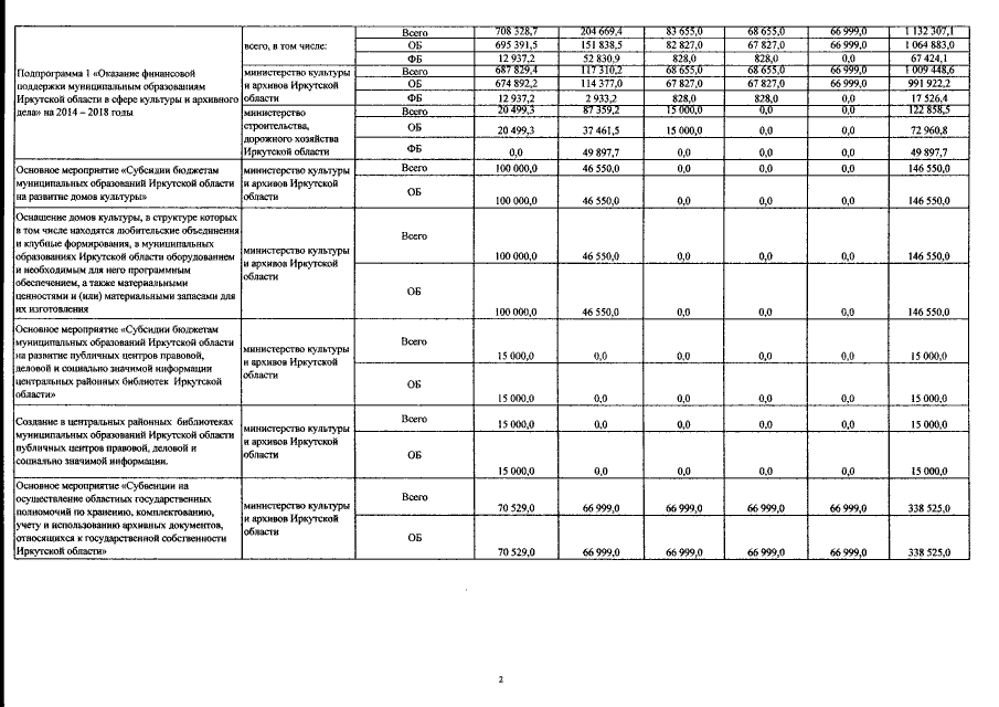
Постановление Правительства Иркутской области от 20.10.2015 № 525-пп
"О внесении изменений в государственную программу Иркутской области "Развитие культуры" на 2014-2018 годы"
Номер опубликования: 3800201510230003
Дата опубликования: 23.10.2015
Страница №62 из 84:
Увеличить