Официальное опубликование правовых актов
ОФИЦИАЛЬНОЕ ОПУБЛИКОВАНИЕ
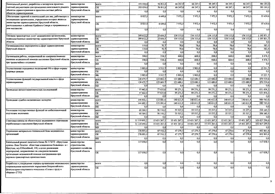
Постановление Правительства Иркутской области от 20.10.2015 № 523-пп
"О внесении изменений в государственную программу Иркутской области "Развитие здравоохранения" на 2014 – 2020 годы"
Номер опубликования: 3800201510230001
Дата опубликования: 23.10.2015
Страница №39 из 56:
Увеличить