Официальное опубликование правовых актов
ОФИЦИАЛЬНОЕ ОПУБЛИКОВАНИЕ
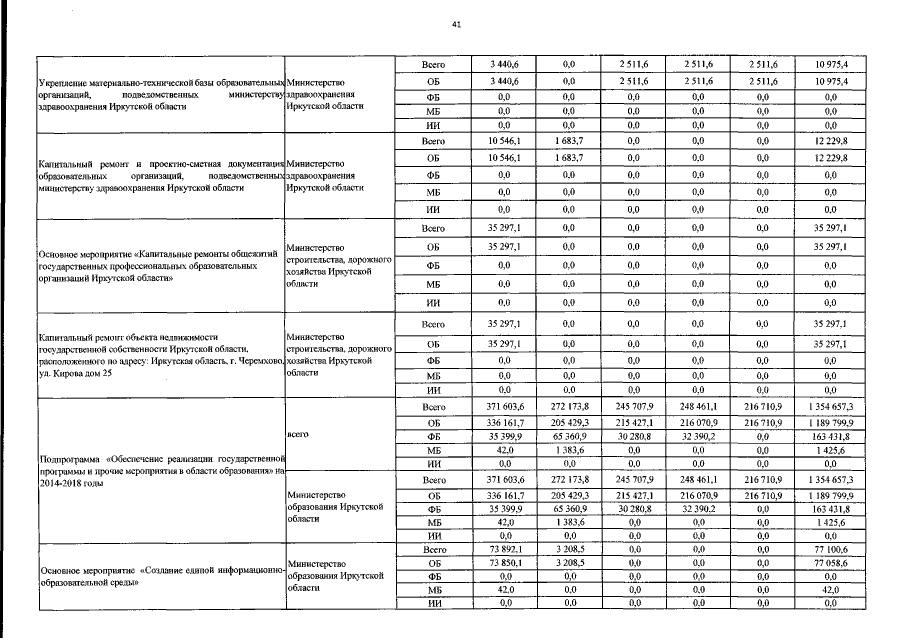
Постановление Правительства Иркутской области от 20.10.2015 № 522-пп
"О внесении изменений в государственную программу Иркутской области "Развитие образования" на 2014 – 2018 годы"
Номер опубликования: 3800201510220007
Дата опубликования: 22.10.2015
Страница №51 из 53:
Увеличить