Официальное опубликование правовых актов
ОФИЦИАЛЬНОЕ ОПУБЛИКОВАНИЕ
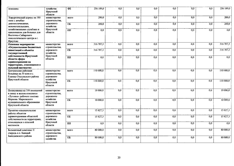
Постановление Правительства Иркутской области от 30.09.2015 № 508-пп
"О внесении изменений в государственную программу Иркутской области "Развитие здравоохранения" на 2014-2020 годы"
Номер опубликования: 3800201510060003
Дата опубликования: 06.10.2015
Страница №23 из 26:
Увеличить