Официальное опубликование правовых актов
ОФИЦИАЛЬНОЕ ОПУБЛИКОВАНИЕ
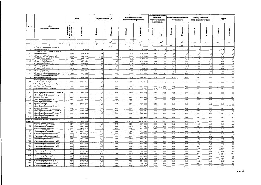
Постановление Правительства Иркутской области от 24.09.2015 № 489-пп
"О внесении изменения в региональную адресную программу Иркутской области "Переселение граждан, проживающих на территории Иркутской области, из аварийного жилищного фонда, признанного непригодным для проживания, в 2013 - 2017 годах"
Номер опубликования: 3800201510010008
Дата опубликования: 01.10.2015
Страница №65 из 80:
Увеличить