Официальное опубликование правовых актов
ОФИЦИАЛЬНОЕ ОПУБЛИКОВАНИЕ
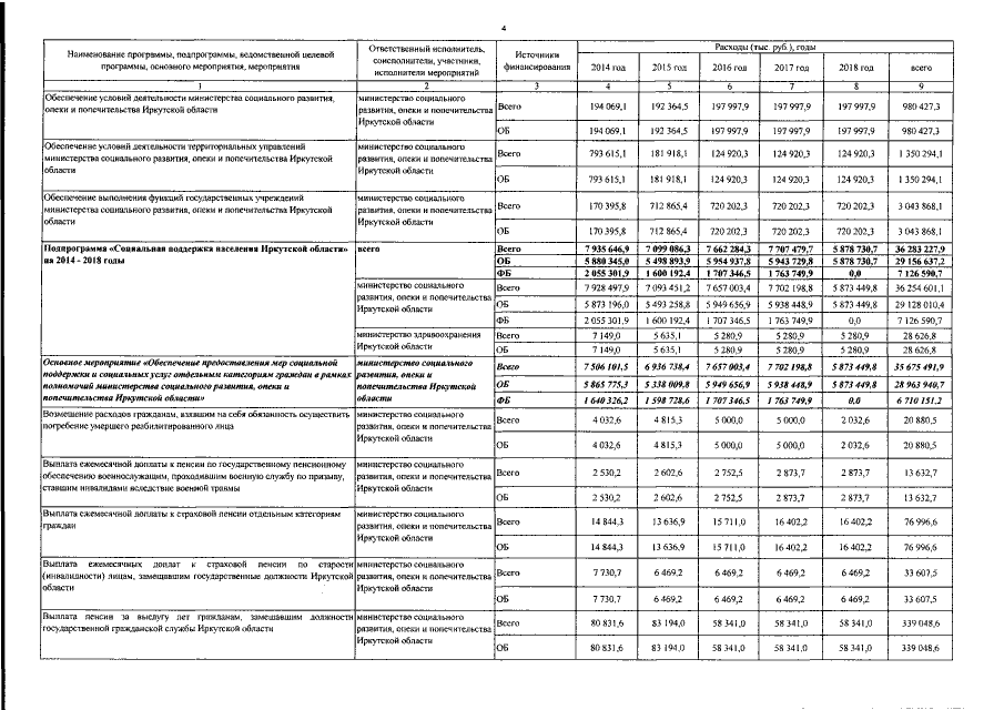
Постановление Правительства Иркутской области от 17.09.2015 № 479-пп
"О внесении изменений в государственную программу Иркутской области "Социальная поддержка населения" на 2014 - 2018 годы"
Номер опубликования: 3800201509230009
Дата опубликования: 23.09.2015
Страница №37 из 66:
Увеличить