Официальное опубликование правовых актов
ОФИЦИАЛЬНОЕ ОПУБЛИКОВАНИЕ
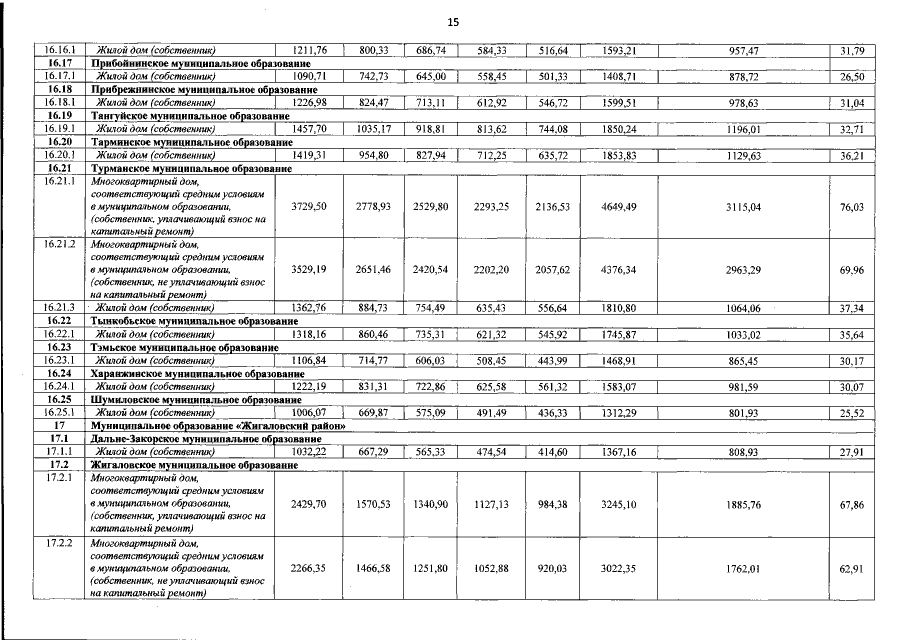
Постановление Правительства Иркутской области от 17.09.2015 № 480-пп
"О внесении изменения в размеры регионального стандарта стоимости жилищно-коммунальных услуг, дифференцированной по муниципальным образованиям Иркутской области, на 2015 год"
Номер опубликования: 3800201509230002
Дата опубликования: 23.09.2015
Страница №16 из 134:
Увеличить