Официальное опубликование правовых актов
ОФИЦИАЛЬНОЕ ОПУБЛИКОВАНИЕ
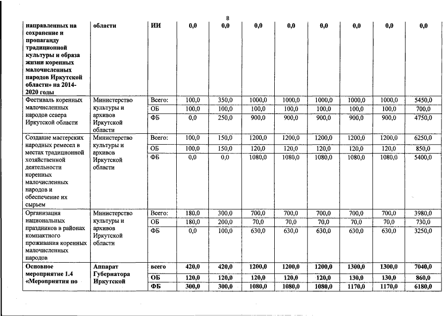
Постановление Правительства Иркутской области от 09.09.2015 № 450-пп
"О внесении изменений в государственную программу Иркутской области "Укрепление единства российской нации и этнокультурное развитие народов Иркутской области" на 2014-2020 годы"
Номер опубликования: 3800201509160011
Дата опубликования: 16.09.2015
Страница №32 из 52:
Увеличить