Официальное опубликование правовых актов
ОФИЦИАЛЬНОЕ ОПУБЛИКОВАНИЕ
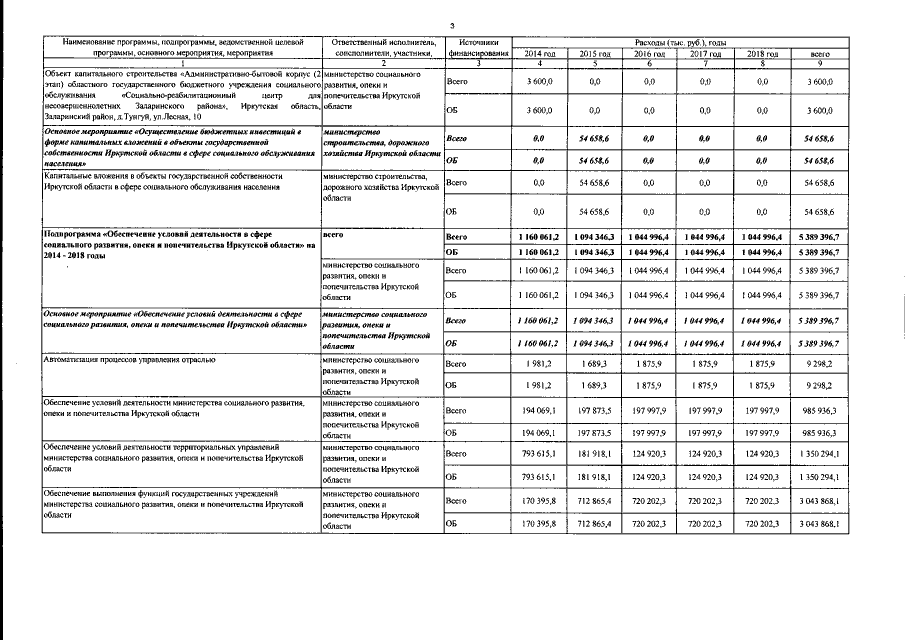
Постановление Правительства Иркутской области от 26.05.2015 № 253-пп
"О внесении изменений в государственную программу Иркутской области "Социальная поддержка населения" на 2014 - 2018 годы"
Номер опубликования: 3800201506010008
Дата опубликования: 01.06.2015
Страница №52 из 112:
Увеличить