Официальное опубликование правовых актов
ОФИЦИАЛЬНОЕ ОПУБЛИКОВАНИЕ
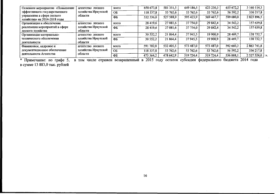
Постановление Правительства Иркутской области от 26.05.2015 № 251-пп
"О внесении изменений в государственную программу Иркутской области "Охрана окружающей среды" на 2014-2018 годы"
Номер опубликования: 3800201505290001
Дата опубликования: 29.05.2015
Страница №47 из 47:
Увеличить