Официальное опубликование правовых актов
ОФИЦИАЛЬНОЕ ОПУБЛИКОВАНИЕ
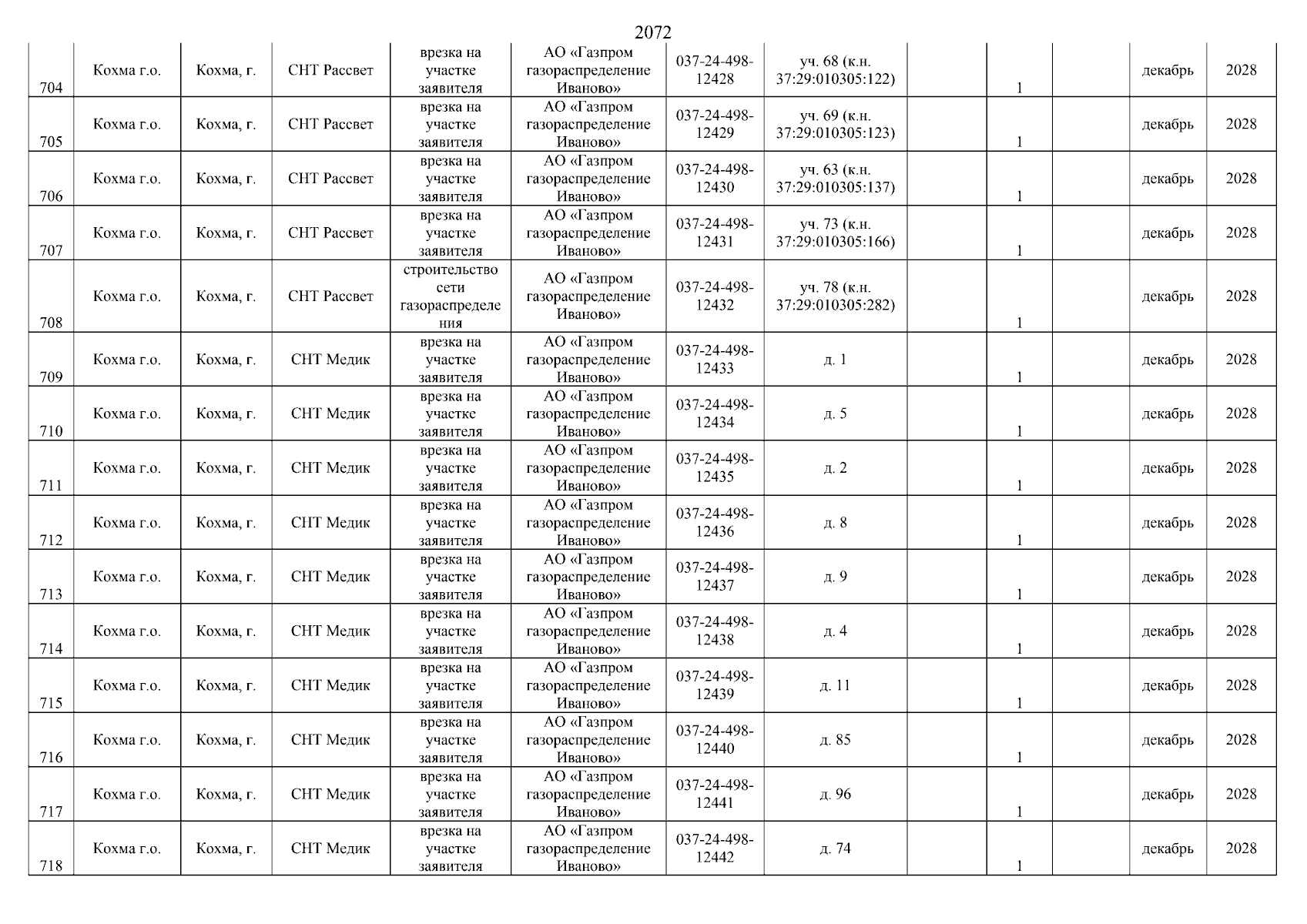
Постановление Правительства Ивановской области от 26.02.2025 № 73-п "О внесении изменений в постановление Правительства Ивановской области от 28.12.2020 № 678-п "Об утверждении региональной Программы газификации жилищно-коммунального хозяйства, промышленных и иных организаций Ивановской области на 2020 - 2030 годы"
Номер опубликования: 3700202502280009
Дата опубликования: 28.02.2025
Страница №2072 из 2089:
Увеличить