Официальное опубликование правовых актов
ОФИЦИАЛЬНОЕ ОПУБЛИКОВАНИЕ
Постановление Правительства Ивановской области от 29.10.2024 № 522-п
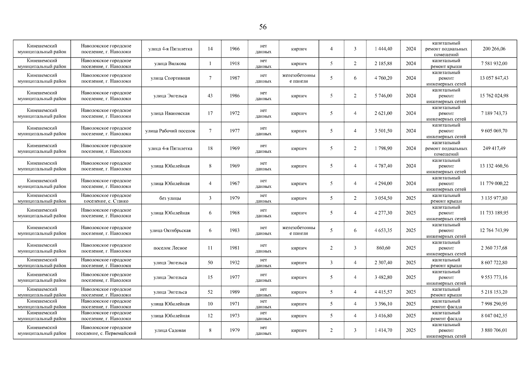
"О внесении изменения в постановление Правительства Ивановской области от 25.03.2024 № 106-п "Об утверждении краткосрочного плана реализации региональной программы капитального ремонта общего имущества в многоквартирных домах, расположенных на территории Ивановской области, на 2024 – 2026 годы"
Номер опубликования: 3700202410310008
Дата опубликования: 31.10.2024
Страница №56 из 90:
Увеличить