Официальное опубликование правовых актов
ОФИЦИАЛЬНОЕ ОПУБЛИКОВАНИЕ
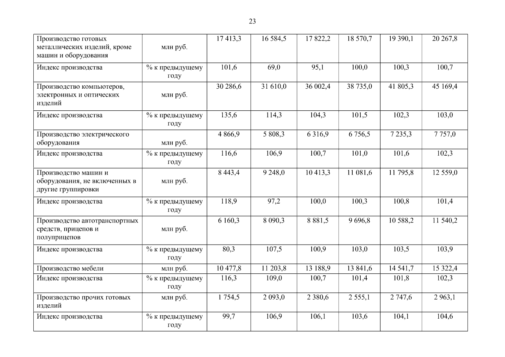
Постановление Правительства Ивановской области от 01.10.2024 № 441-п
"О прогнозе социально-экономического развития Ивановской области на 2025 год и плановый период 2026 и 2027 годов"
Номер опубликования: 3700202410020004
Дата опубликования: 02.10.2024
Страница №23 из 28:
Увеличить