Официальное опубликование правовых актов
ОФИЦИАЛЬНОЕ ОПУБЛИКОВАНИЕ
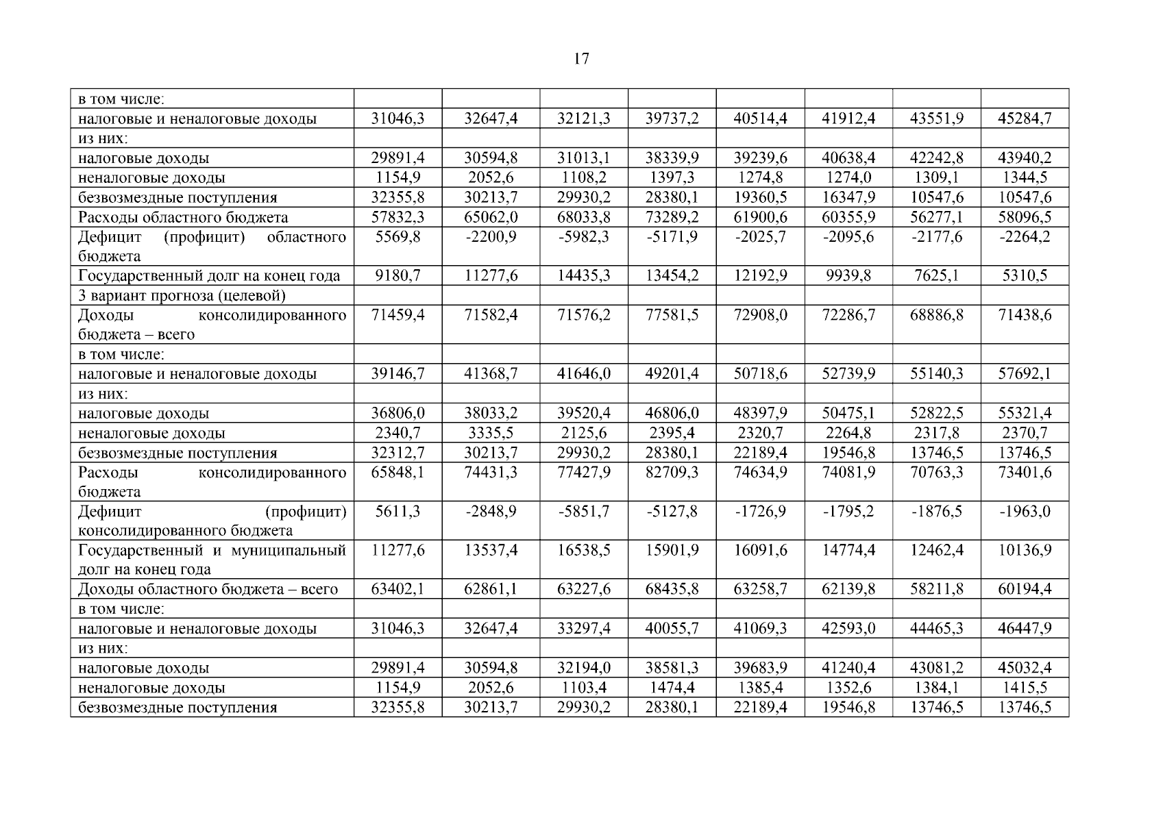
Постановление Правительства Ивановской области от 14.03.2024 № 94-п
"О внесении изменений в постановление Правительства Ивановской области от 16.03.2023 № 134-п "Об утверждении бюджетного прогноза Ивановской области на 2023 – 2035 годы"
Номер опубликования: 3700202403140008
Дата опубликования: 14.03.2024
Страница №17 из 24:
Увеличить