Официальное опубликование правовых актов
ОФИЦИАЛЬНОЕ ОПУБЛИКОВАНИЕ
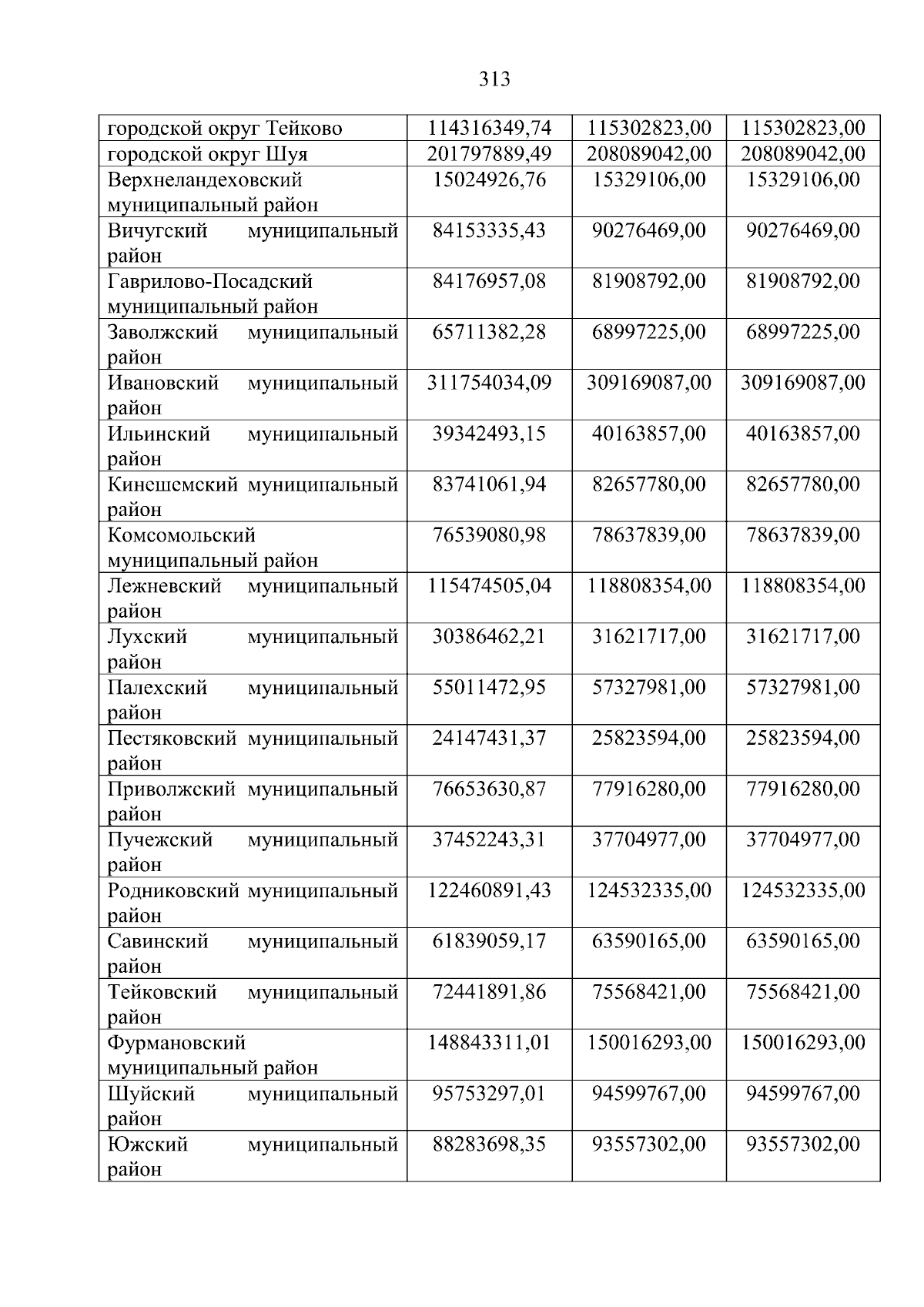
Закон Ивановской области от 22.12.2023 № 75-ОЗ
"О внесении изменений в Закон Ивановской области "Об областном бюджете на 2023 год и на плановый период 2024 и 2025 годов"
Номер опубликования: 3700202312220031
Дата опубликования: 22.12.2023
Страница №313 из 323:
Увеличить