Официальное опубликование правовых актов
ОФИЦИАЛЬНОЕ ОПУБЛИКОВАНИЕ
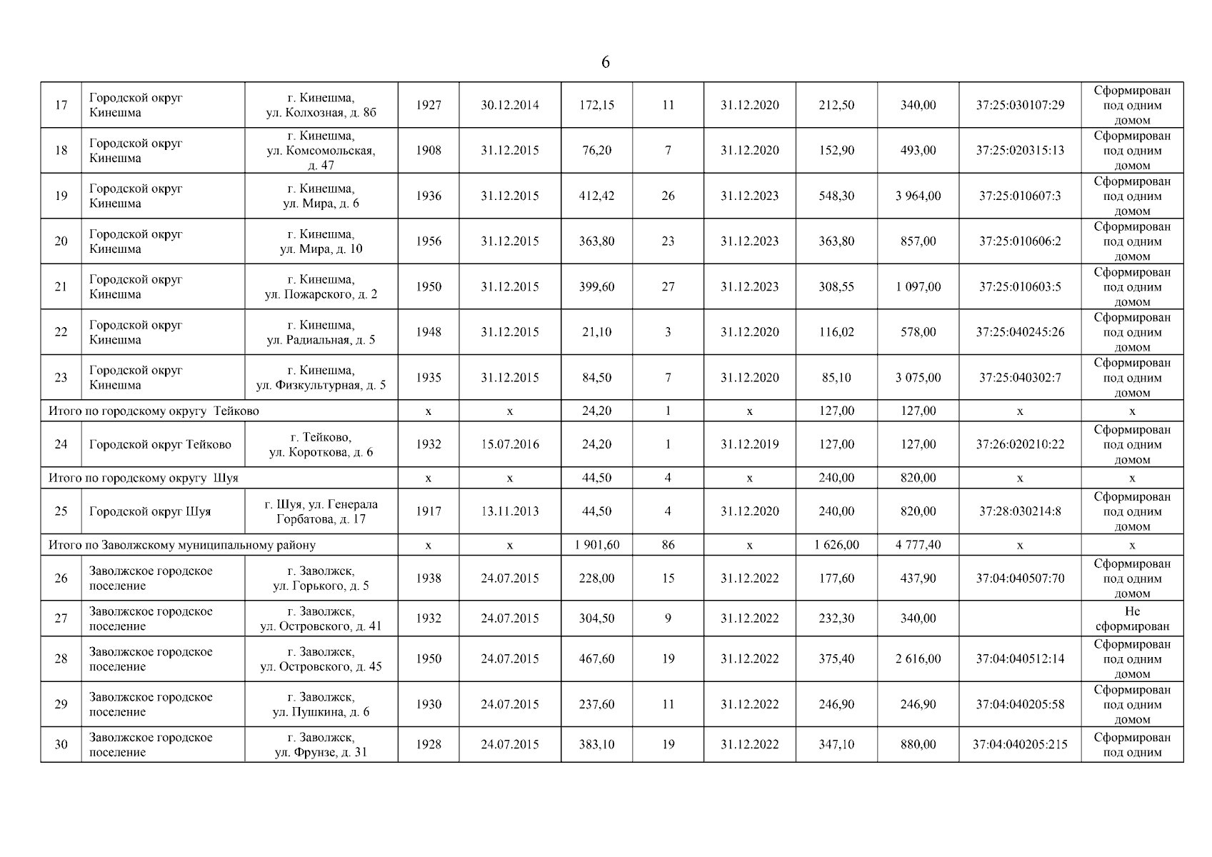
Постановление Правительства Ивановской области от 22.12.2023 № 642-п
"О внесении изменений в постановление Правительства Ивановской области от 09.04.2019 № 131-п "Об утверждении региональной адресной программы "Переселение граждан из аварийного жилищного фонда на территории Ивановской области на 2019 - 2023 годы"
Номер опубликования: 3700202312220014
Дата опубликования: 22.12.2023
Страница №6 из 20:
Увеличить