Официальное опубликование правовых актов
ОФИЦИАЛЬНОЕ ОПУБЛИКОВАНИЕ
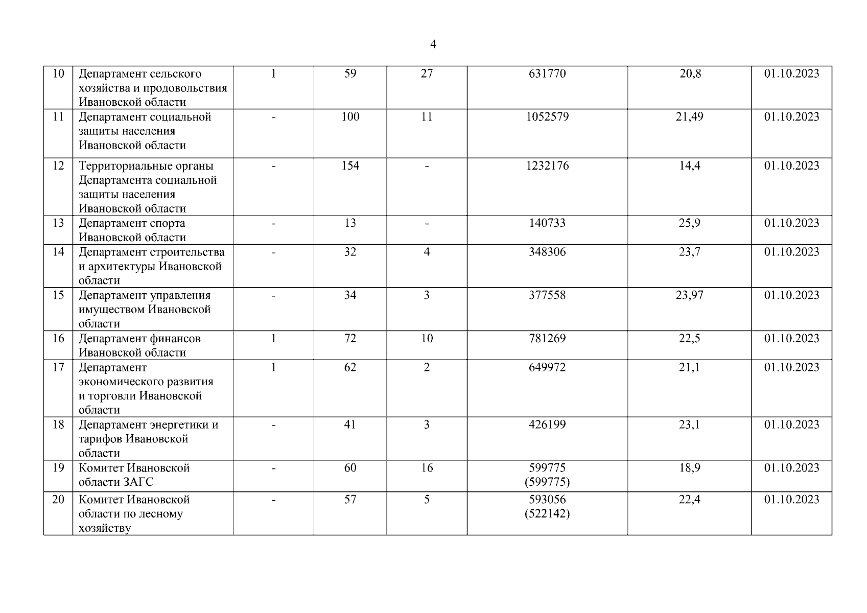
Указ Губернатора Ивановской области от 23.08.2023 № 78-уг
"О внесении изменений в указ Губернатора Ивановской областиот 18.12.2012 № 241-уг "О предельной численности, фонде оплаты труда и ежемесячном денежном поощрении государственных гражданских служащих Ивановской области"
Номер опубликования: 3700202308290001
Дата опубликования: 29.08.2023
Страница №4 из 12:
Увеличить