Официальное опубликование правовых актов
ОФИЦИАЛЬНОЕ ОПУБЛИКОВАНИЕ
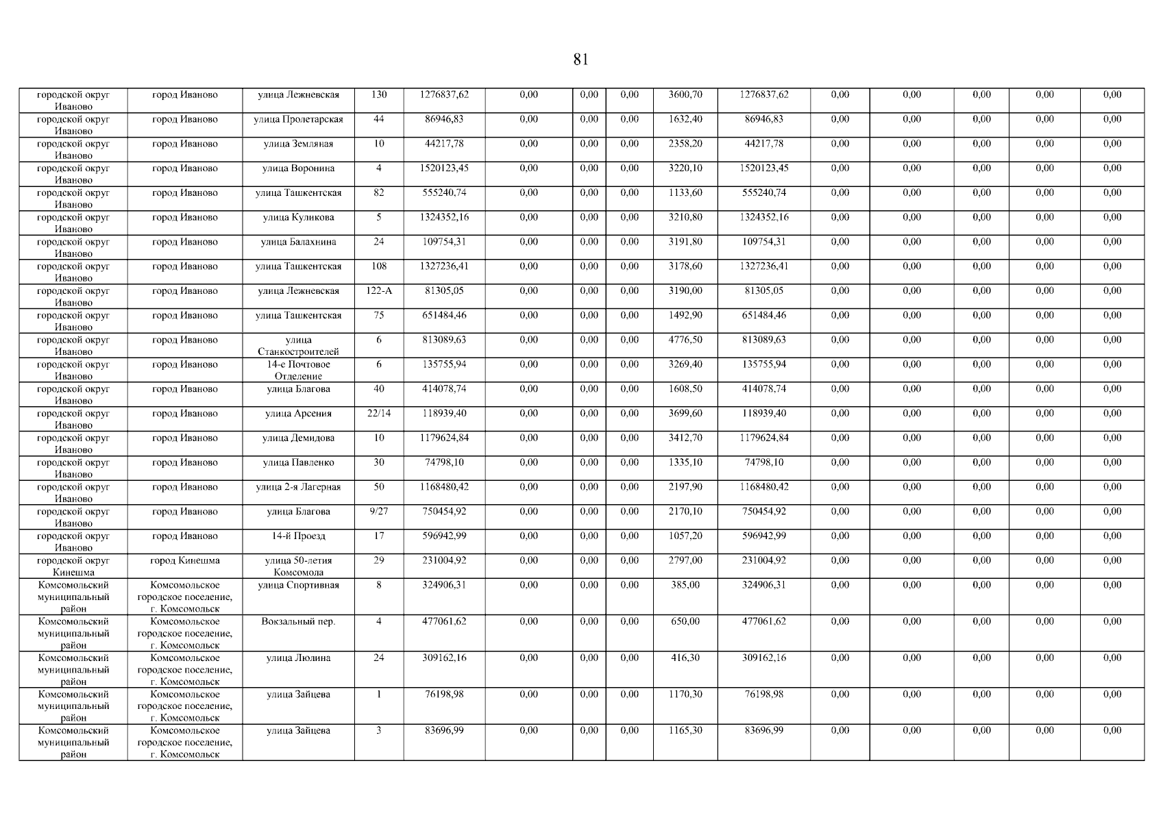
Постановление Правительства Ивановской области от 18.08.2023 № 381-п
"О внесении изменения в постановление Правительства Ивановской области от 24.01.2018 № 22-п "Об утверждении краткосрочного плана реализации региональной программы капитального ремонта общего имущества в многоквартирных домах, расположенных на территории Ивановской области, на 2018 – 2020 годы"
Номер опубликования: 3700202308230004
Дата опубликования: 23.08.2023
Страница №81 из 82:
Увеличить