Официальное опубликование правовых актов
ОФИЦИАЛЬНОЕ ОПУБЛИКОВАНИЕ
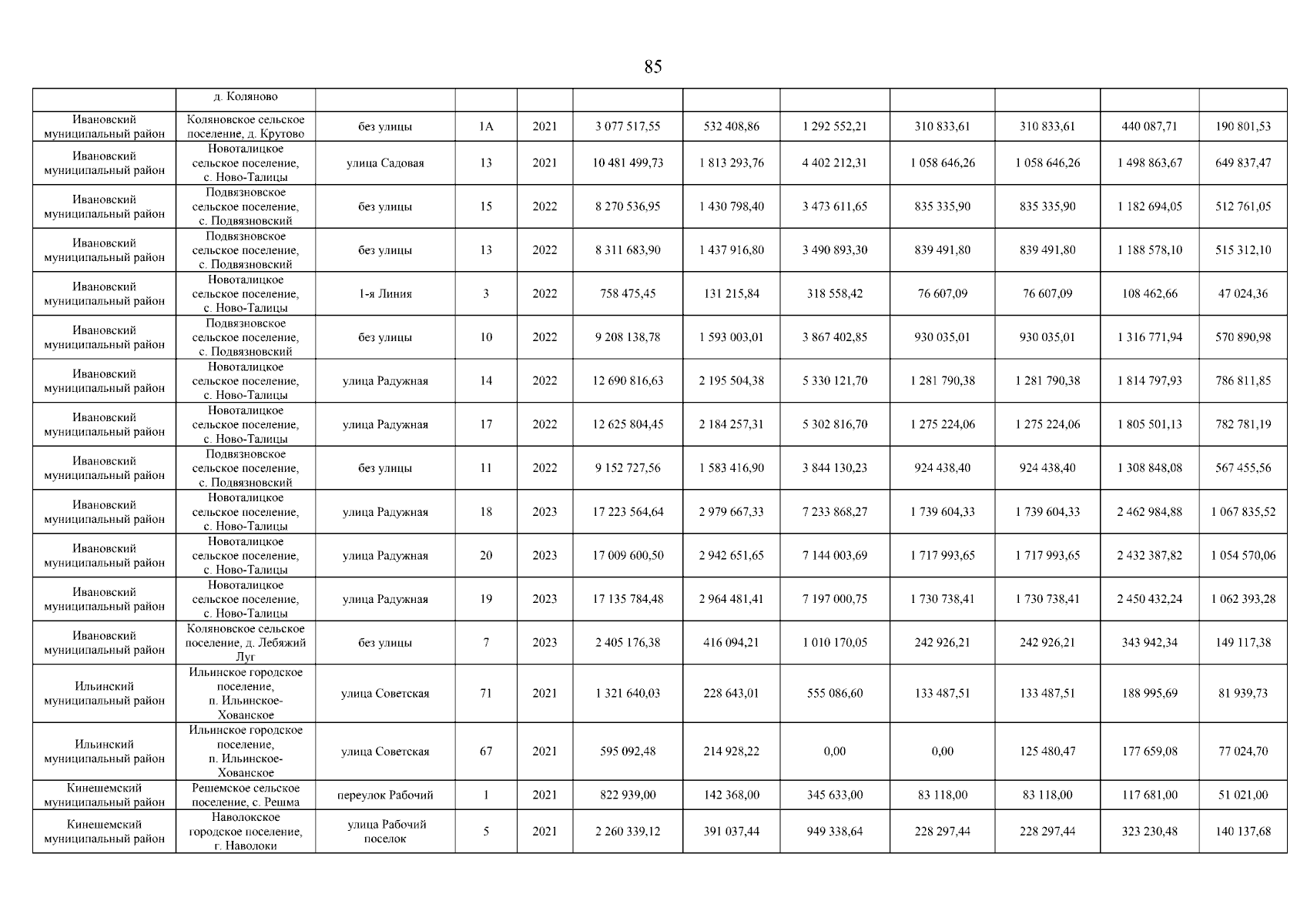
Постановление Правительства Ивановской области от 18.08.2023 № 382-п
"О внесении изменения в постановление Правительства Ивановской области от 05.10.2020 № 487-п "Об утверждении краткосрочного плана реализации региональной программы капитального ремонта общего имущества в многоквартирных домах, расположенных на территории Ивановской области,на 2021 – 2023 годы"
Номер опубликования: 3700202308230003
Дата опубликования: 23.08.2023
Страница №85 из 88:
Увеличить