Официальное опубликование правовых актов
ОФИЦИАЛЬНОЕ ОПУБЛИКОВАНИЕ
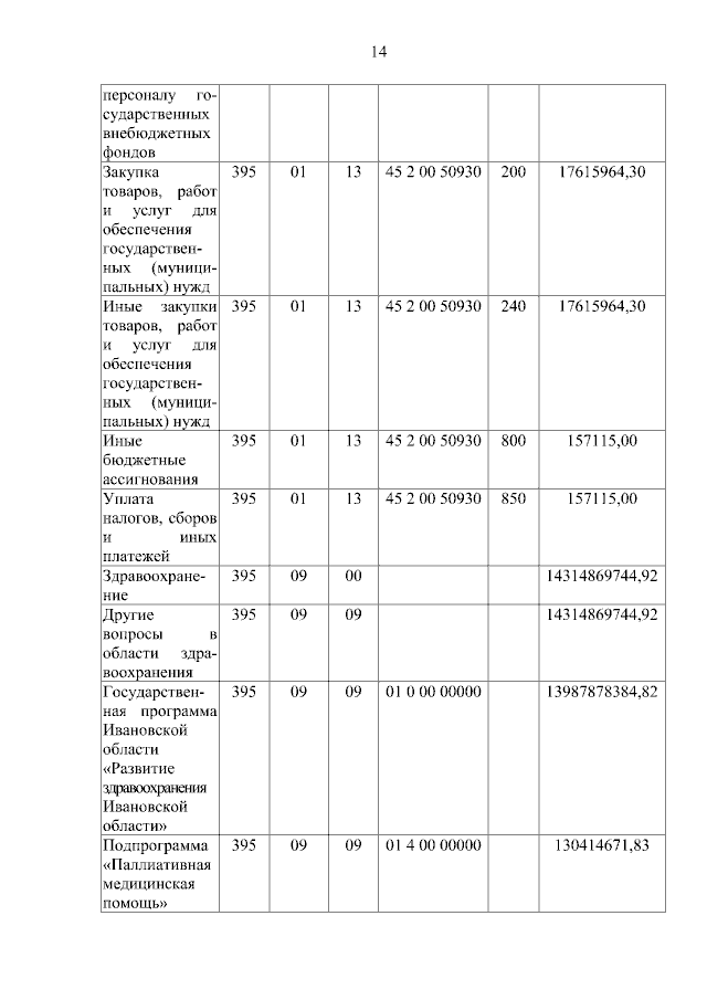
Закон Ивановской области от 05.07.2023 № 39-ОЗ
"Об исполнении бюджета территориального фонда обязательного медицинского страхования Ивановской области за 2022 год"
Номер опубликования: 3700202307050003
Дата опубликования: 05.07.2023
Страница №14 из 27:
Увеличить