Официальное опубликование правовых актов
ОФИЦИАЛЬНОЕ ОПУБЛИКОВАНИЕ
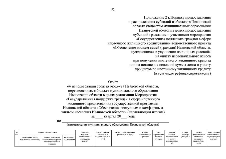
Постановление Правительства Ивановской области от 06.02.2023 № 59-п
"О внесении изменений в постановление Правительства Ивановской области от 06.12.2017 № 460-п "Об утверждении государственной программы Ивановской области "Обеспечение доступным и комфортным жильем населения Ивановской области"
Номер опубликования: 3700202302080003
Дата опубликования: 08.02.2023
Страница №92 из 144:
Увеличить