Официальное опубликование правовых актов
ОФИЦИАЛЬНОЕ ОПУБЛИКОВАНИЕ
Постановление Правительства Ивановской области от 25.01.2023 № 17-п
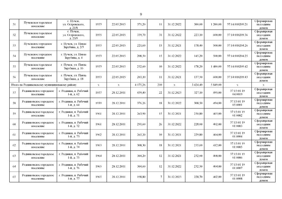
"О внесении изменений в постановление Правительства Ивановской области от 09.04.2019 № 131-п "Об утверждении региональной адресной программы "Переселение граждан из аварийного жилищного фонда на территории Ивановской области на 2019 - 2023 годы"
Номер опубликования: 3700202301250006
Дата опубликования: 25.01.2023
Страница №9 из 20:
Увеличить