Официальное опубликование правовых актов
ОФИЦИАЛЬНОЕ ОПУБЛИКОВАНИЕ
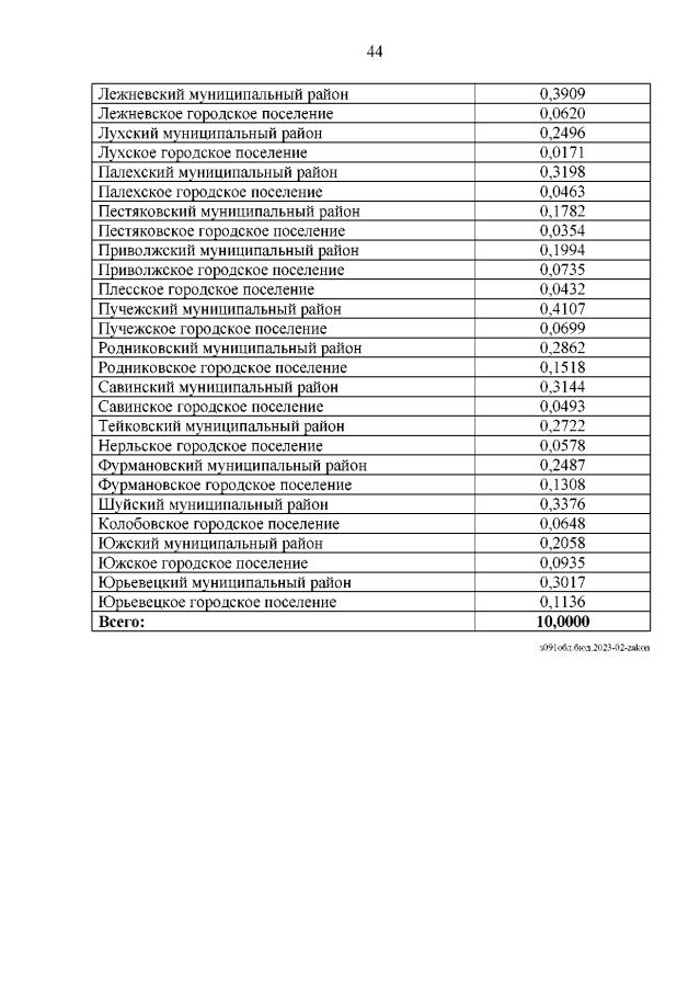
Закон Ивановской области от 19.12.2022 № 76-ОЗ
"Об областном бюджете на 2023 год и на плановый период 2024 и 2025 годов"
Номер опубликования: 3700202212210029
Дата опубликования: 21.12.2022
Страница №44 из 762:
Увеличить