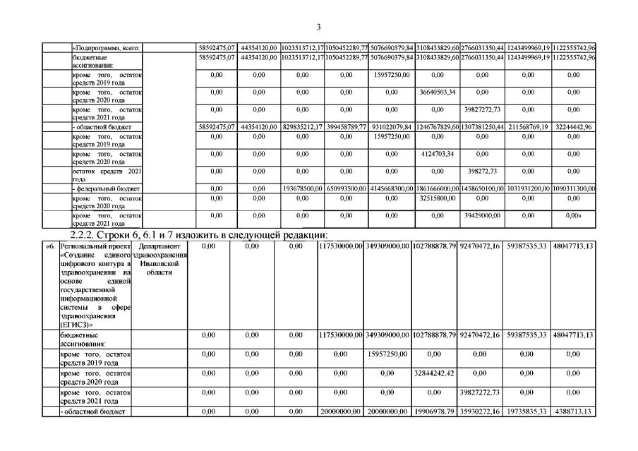
Постановление Правительства Ивановской области от 15.12.2022 № 723-п
"О внесении изменений в постановление Правительства Ивановской области от 13.11.2013 № 449-п "Об утверждении государственной программы Ивановской области "Развитие здравоохранения Ивановской области"
"О внесении изменений в постановление Правительства Ивановской области от 13.11.2013 № 449-п "Об утверждении государственной программы Ивановской области "Развитие здравоохранения Ивановской области"
Номер опубликования: 3700202212160001
Дата опубликования:
16.12.2022
