Официальное опубликование правовых актов
ОФИЦИАЛЬНОЕ ОПУБЛИКОВАНИЕ
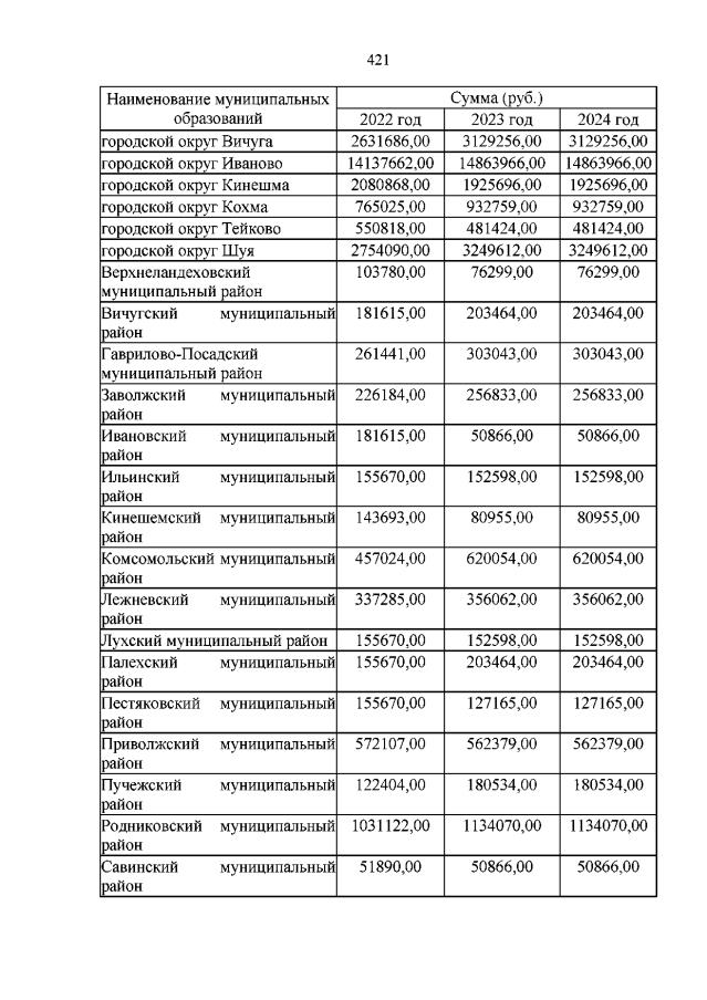
Закон Ивановской области от 05.12.2022 № 65-ОЗ
"О внесении изменений в Закон Ивановской области "Об областном бюджете на 2022 год и на плановый период 2023 и 2024 годов"
Номер опубликования: 3700202212060008
Дата опубликования: 06.12.2022
Страница №421 из 431:
Увеличить