Официальное опубликование правовых актов
ОФИЦИАЛЬНОЕ ОПУБЛИКОВАНИЕ
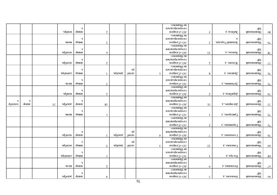
Постановление Правительства Ивановской области от 05.12.2022 № 706-п
"О внесении изменений в постановление Правительства Ивановской области от 28.12.2020 № 678-п "Об утверждении Региональной программы газификации жилищно-коммунального хозяйства, промышленных и иных организаций Ивановской области на 2020 - 2024 годы"
Номер опубликования: 3700202212060006
Дата опубликования: 06.12.2022
Страница №75 из 334:
Увеличить