Постановление Правительства Ивановской области от 24.11.2022 № 689-п
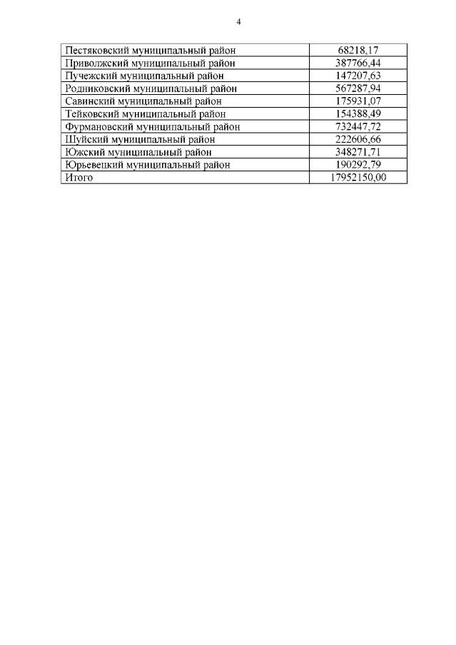
"Об утверждении распределения субвенций бюджетам муниципальных районов и городских округов Ивановской области на осуществление переданных органам местного самоуправления государственных полномочий Ивановской области по предоставлению бесплатного горячего питания обучающимся, получающим основное общее и среднее общее образование в муниципальных образовательных организациях, из числа детей граждан, принимающих участие (принимавших участие, в том числе погибших (умерших)) в специальной военной операции, проводимой с 24 февраля 2022 года, из числа военнослужащих и сотрудников федеральных органов исполнительной власти и федеральных государственных органов, в которых федеральным законом предусмотрена военная служба, сотрудников органов внутренних дел Российской Федерации, граждан Российской Федерации, заключивших контракт о добровольном содействии в выполнении задач, возложенных на Вооруженные Силы Российской Федерации, сотрудников уголовно-исполнительной системы Российской Федерации, выполняющих (выполнявших) возложенные на них задачи в период проведения специальной военной операции, а также граждан, призванных на военную службу по мобилизации в Вооруженные Силы Российской Федерации, на 2022 год"
"Об утверждении распределения субвенций бюджетам муниципальных районов и городских округов Ивановской области на осуществление переданных органам местного самоуправления государственных полномочий Ивановской области по предоставлению бесплатного горячего питания обучающимся, получающим основное общее и среднее общее образование в муниципальных образовательных организациях, из числа детей граждан, принимающих участие (принимавших участие, в том числе погибших (умерших)) в специальной военной операции, проводимой с 24 февраля 2022 года, из числа военнослужащих и сотрудников федеральных органов исполнительной власти и федеральных государственных органов, в которых федеральным законом предусмотрена военная служба, сотрудников органов внутренних дел Российской Федерации, граждан Российской Федерации, заключивших контракт о добровольном содействии в выполнении задач, возложенных на Вооруженные Силы Российской Федерации, сотрудников уголовно-исполнительной системы Российской Федерации, выполняющих (выполнявших) возложенные на них задачи в период проведения специальной военной операции, а также граждан, призванных на военную службу по мобилизации в Вооруженные Силы Российской Федерации, на 2022 год"
Номер опубликования: 3700202211300004
Дата опубликования:
30.11.2022
