Официальное опубликование правовых актов
ОФИЦИАЛЬНОЕ ОПУБЛИКОВАНИЕ
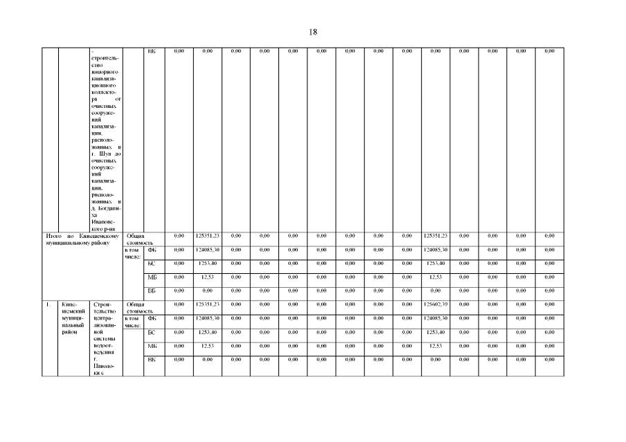
Постановление Правительства Ивановской области от 19.10.2022 № 565-п
"О внесении изменений в постановления Правительства Ивановской области от 13.11.2013 № 452-п "Об утверждении государственной программы Ивановской области "Охрана окружающей среды Ивановской области" и от 06.12.2017 № 458-п "Об утверждении государственной программы Ивановской области "Обеспечение услугами жилищно-коммунального хозяйства населения Ивановской области"
Номер опубликования: 3700202210200013
Дата опубликования: 20.10.2022
Страница №20 из 21:
Увеличить