Официальное опубликование правовых актов
ОФИЦИАЛЬНОЕ ОПУБЛИКОВАНИЕ
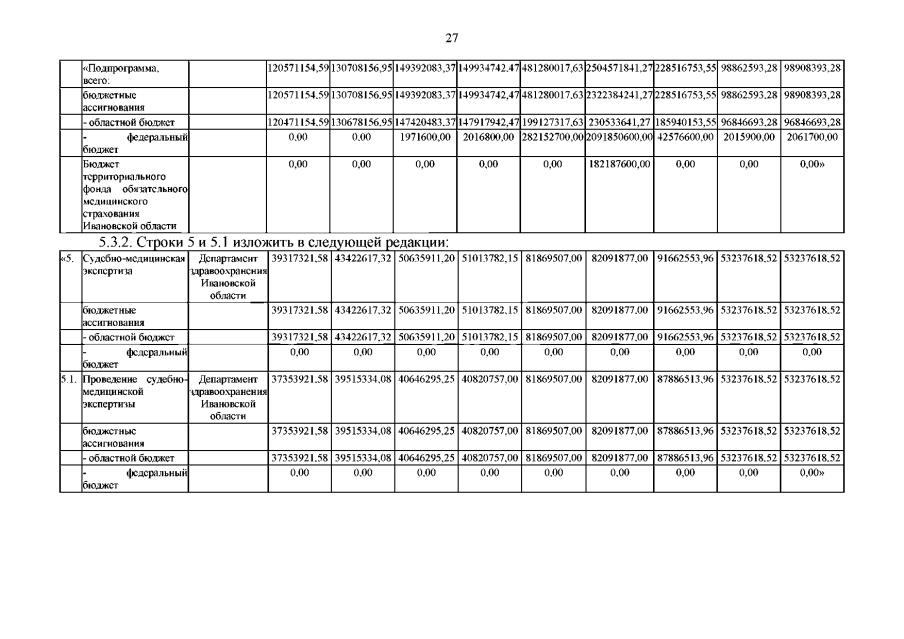
Постановление Правительства Ивановской области от 06.07.2022 № 343-п
"О внесении изменений в постановление Правительства Ивановской области от 13.11.2013 № 449-п "Об утверждении государственной программы Ивановской области "Развитие здравоохранения Ивановской области"
Номер опубликования: 3700202207080005
Дата опубликования: 08.07.2022
Страница №27 из 30:
Увеличить