Официальное опубликование правовых актов
ОФИЦИАЛЬНОЕ ОПУБЛИКОВАНИЕ
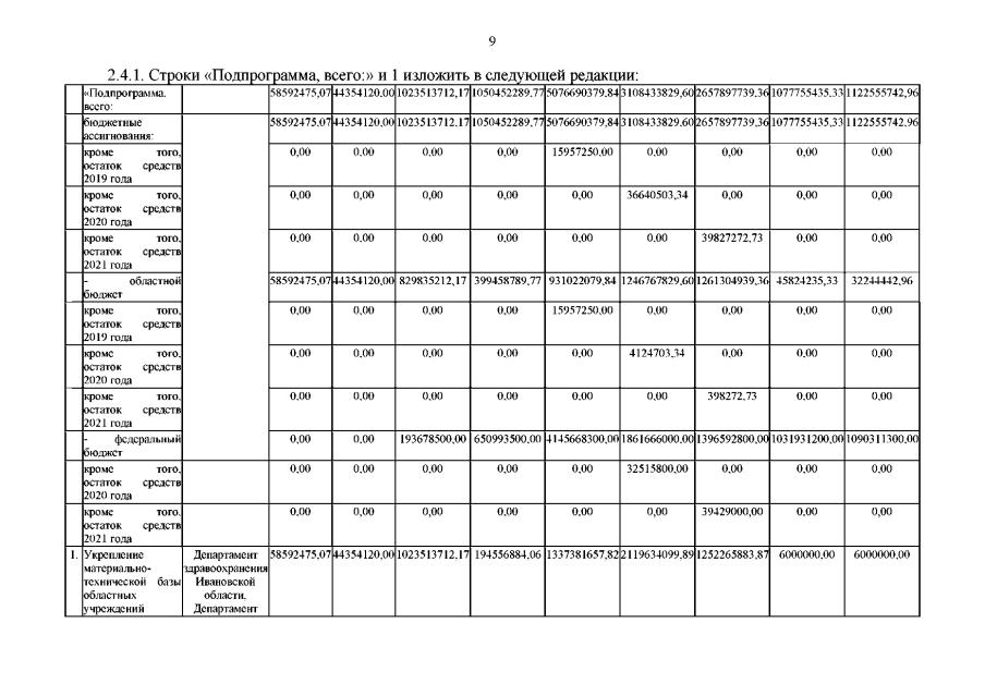
Постановление Правительства Ивановской области от 27.06.2022 № 299-п
"О внесении изменений в постановление Правительства Ивановской области от 13.11.2013 № 449-п "Об утверждении государственной программы Ивановской области "Развитие здравоохранения Ивановской области"
Номер опубликования: 3700202206290002
Дата опубликования: 29.06.2022
Страница №9 из 17:
Увеличить