Официальное опубликование правовых актов
ОФИЦИАЛЬНОЕ ОПУБЛИКОВАНИЕ
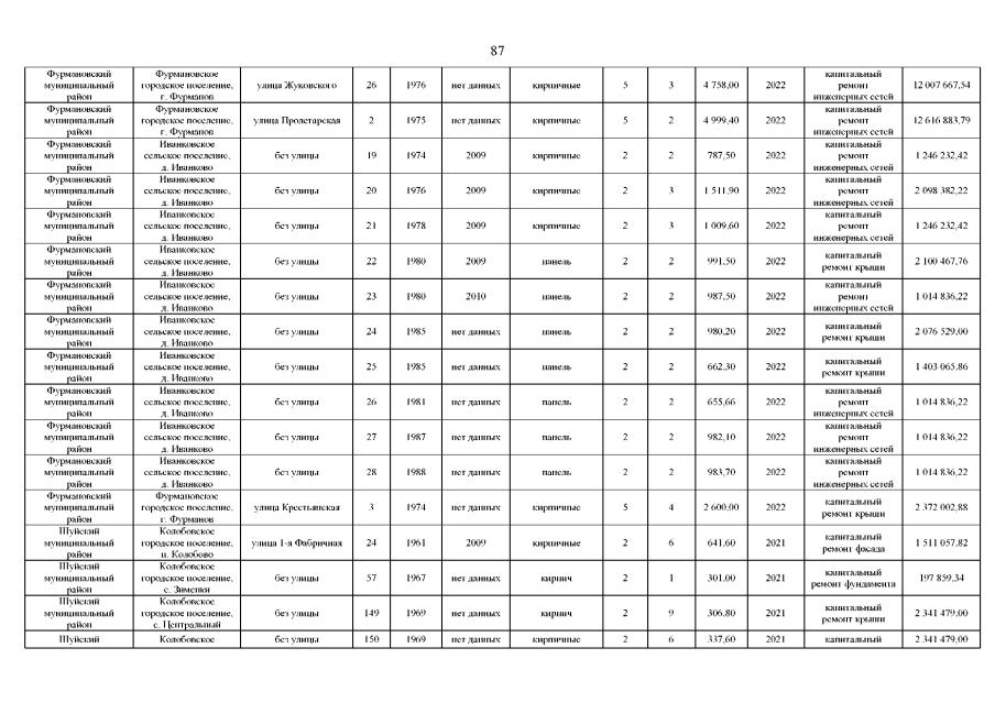
Постановление Правительства Ивановской области от 22.04.2022 № 184-п
"О внесении изменения в постановление Правительства Ивановской области от 05.10.2020 № 487-п "Об утверждении краткосрочного плана реализации региональной программы капитального ремонта общего имущества в многоквартирных домах, расположенных на территории Ивановской области, на 2021 – 2023 годы"
Номер опубликования: 3700202204250002
Дата опубликования: 25.04.2022
Страница №87 из 93:
Увеличить