Официальное опубликование правовых актов
ОФИЦИАЛЬНОЕ ОПУБЛИКОВАНИЕ
Постановление Правительства Ивановской области от 14.04.2022 № 160-п
"О внесении изменений в постановление Правительства Ивановской области от 13.11.2013 № 457-п "Об утверждении государственной программы Ивановской области "Обеспечение безопасности граждан и профилактика правонарушений в Ивановской области"
Номер опубликования: 3700202204140010
Дата опубликования: 14.04.2022
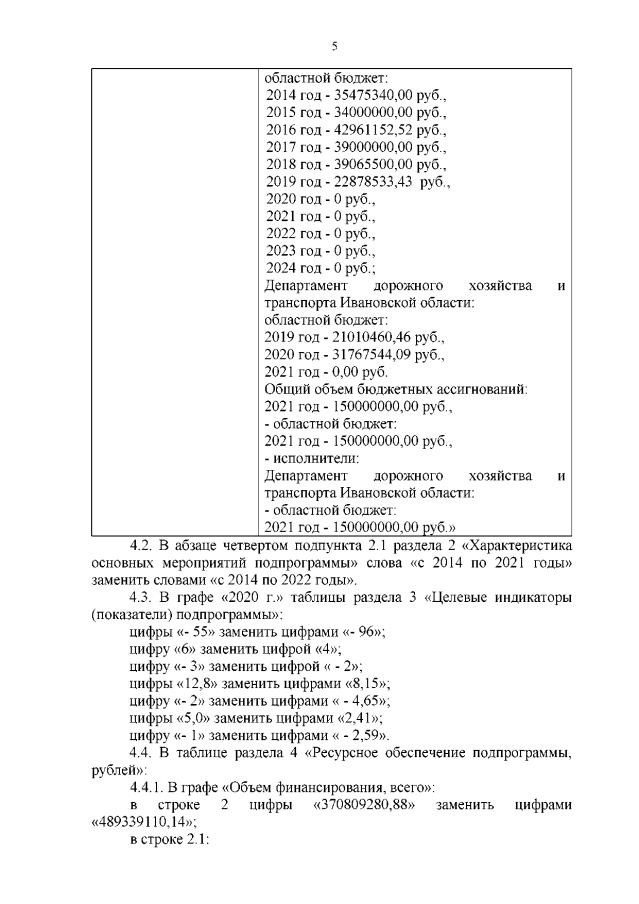
Страница №5 из 9:
Увеличить