Официальное опубликование правовых актов
ОФИЦИАЛЬНОЕ ОПУБЛИКОВАНИЕ
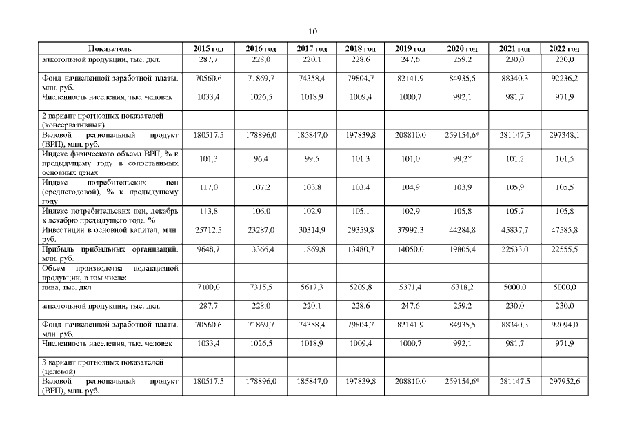
Постановление Правительства Ивановской области от 25.02.2022 № 88-п
"О внесении изменений в постановление Правительства Ивановской области от 15.02.2017 № 41-п "Об утверждении бюджетного прогноза Ивановской области на 2017 – 2030 годы"
Номер опубликования: 3700202203010016
Дата опубликования: 01.03.2022
Страница №10 из 21:
Увеличить